“黄沙百战穿金甲,不破楼兰终不还。”这种愉悦和骄傲的心情我小编也有过,只不过那是很多年前的事了,而那时候没有驾考新规~
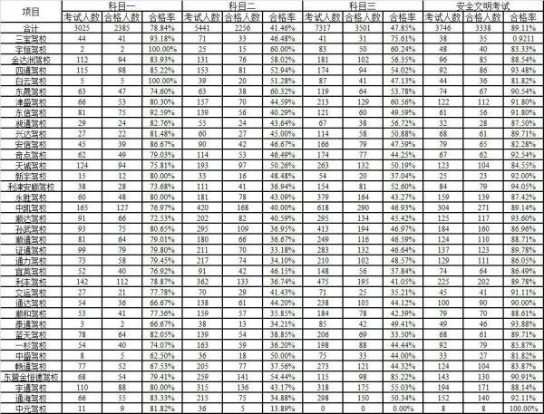
咳咳,说的有点远了。众所周知,科目二是驾考项目中最难的一门,元贝小编搜集了近期几个城市驾校合格率数据,下图是阜阳市10月驾校排行榜,【科目二平均合格率】66.1%,【科目三平均合格率】74.8%。

9月东营市【科目二平均合格率】42%,【科目三平均合格率48%】

【注】每月的驾校合格率在当地车管所网站或者公众号内均有公布,各地学员可以自行查看~
所以照这么说,科目二的确是驾考里面最难的学科了。过了不好好庆祝和高兴一番,都对不起自己苦苦练车晒黑的皮肤。
而且每天都有很多学员跟元贝小编说起驾考科目过了的事,这不,随便一翻手机相册,就是聊天截图。

安慰同伴

【后记】
科目二过了也不要高兴得太早,毕竟还有科目三~科目二过渡到科目三这段时间,很多学员都感觉到学车比以前吃力了,虽然科目三较为简单,但是教练对细节的要求却比以前更严了。这4点变化练科三之前要知道!
1、科三就是学开车
学员们可能觉得,科目三的细节非常多,一紧张就容易忘记,那是因为没有把这些细节当做自己开车的习惯。学的效率的人,必定是在一开始练习时就养成良好的习惯,到后面再怎么增加内容都很容易适应。
注重细节体现在方方面面,例如,科目三考试具体有哪些项目,这些项目有什么要求。又或者,靠边停车后开车门前左右观望,上车系安全带……这些细节都是在练习中慢慢培养的习惯。
为什么说科目三细节最重要,细节就是体现在这些微小的地方,考试发挥的好不好关键就是靠这些细节。
2、科目二基础好,技术扎实
科目二与科目三其实是相通的,无论是打方向,还是踩离合,还是看后视镜,都是在为科三打基础。教练在平时的教学中或多或少都会穿插科目三的一些内容,这时候你如果产生“反正科目三离我还远,我现在主要任务是练好科目二”这样的想法,到了科目三肯定是相当于从头再来的。
科目三练的效率的人必定是在科目二没有弱项的,而且也不是通过死记硬背去看点线,他们懂得举一反三,在科目二就为路考打下了良好的基础。
3、教练可能不会像科二那样对你“温柔”了
教练的方法一定是经过验证适用于考试的,尽管不同教练方法不同,但是他一定会根据学员的情况制定适合他们的方法。而且教学中一定会涉及到有关以后开车安全的注意事项,所以不要再去找其他方法或是羡慕别人的方法,适合自己的才是棒棒的。
不懂的一定要马上问教练,不要憋在心里,不然教练以为你懂了就不会再讲第二遍,难保考试时不会遇到相同的问题。
4、实际上路胆子要大,注意安全
到了路上开车,有点紧张是必需的,适当的紧张有助于开车集中注意力。但是太过紧张反而会影响到正常的操作,甚至会直接影响考试成绩。要想科目三练得效率,第一步就是要放平心态,要知道,练习时有教练在旁边,只要你按照正常步骤,听教练指挥,不会出问题。